Cubo e Paralelepípedo
Paralelepípedo
é um prisma que possui em suas bases um paralelogramo. Sendo que o paralelepípedo é configurado pela
reunião dos seis paralelogramos que o constituem.
Paralelepípedo reto é aquele onde toda a projeção de sua face
superior cai sobre sua face inferior, ou seja faz um ângulo de 90º entre
cada uma das faces.
Paralelepípedo
Todo prisma cujas bases são paralelogramos recebe o nome de
paralelepípedo.Assim, podemos ter:
a) paralelepípedo oblíquo
|
b) paralelepípedo reto
|
Se
o paralelepípedo reto tem bases retangulares, ele é chamado de
paralelepípedo reto-retângulo,ortoedro ou paralelepípedo retângulo.
Paralelepípedo retângulo
Seja o
paralelepípedo retângulo de dimensões a, b e c da
figura:
Temos quatro
arestas de medida a, quatro arestas de medida b e quatro arestas de medida
c; as
arestas indicadas pela mesma letra são paralelas.
Diagonais da base
e do paralelepípedo
Considere a figura a seguir:
db = diagonal da base
dp = diagonal do
paralelepípedo
|
Na base ABFE,
temos:
No
triângulo AFD, temos:
Área lateral
Sendo AL a área lateral de um paralelepípedo
retângulo, temos:
AL= ac + bc + ac + bc =
2ac + 2bc =AL = 2(ac + bc)
Área total
Planificando o paralelepípedo, verificamos que a área total é a soma das
áreas de cada par de faces opostas:
AT= 2( ab + ac + bc)
|
Volume
Por definição, unidade de volume
é um cubo de aresta 1. Assim, considerando um paralelepípedo de dimensões 4,
2 e 2, podemos decompô-lo em 4 . 2 . 2 cubos de aresta 1:
Então, o volume de um paralelepípedo retângulo de dimensões a, b
e c é dado por:
V = abc
Como o produto de duas dimensões resulta sempre na área de uma face e como
qualquer face pode ser considerada como base, podemos dizer que o volume do
paralelepípedo retângulo é o produto da área da base AB pela
medida da altura h:
Cubo é o paralelepípedo reto que tem todas as arestas congruentes.
Diagonal e área do cubo, se notarmos um cubo é formado por
seis faces quadradas, de lado n. Poderemos então concluir que sua área lateral total é de : 6n2
Para a diagonal do cubo deveremos considerar a a diagonal do lado e d a diagonal principal.
Assim
Para calcular f devemos efetuar o Teorema de Pitágoras com os lados do cubo.
Agora para a diagonal principal temos:
Observe que para o paralelepípedo retângulo a idéia é a mesma onde encontramos:
Onde sua superfície lateral total é de :
2ab + 2bc + 2ac
2ab + 2bc + 2ac
E d (sua diagonal principal) é:
O volume do cubo é dado por n3 e o do paralelepípedo reto é abc.
E aí como já é de costume estaremos postando videos,para auxiliar no seu estudo;
Parceria;
YouTube - Broadcast Yourself.
www.youtube.com/?gl=BR&hl=pt
Videos
Videos
Livro com o assunto relacionado; confira os sites e faça sua compra.
Livros De Matemática | LivrariaCultura.com.br
www.livrariacultura.com.br/
Geometria espacial - Só Matemática
www.somatematica.com.br/emedio/espacial/indice.phpEm cache - SimilaresCompartilhar
Compartilhado no Google+. Visualizar a postagem.
História da Matemática · Laifis de Matemática · Softwares ... Palíndromos · Indicação de Livros ... Veja um resumo das principais fórmulas de Geometria Espacial ...
Geometria Espacial - (O melhor livro de geometria espacial!).rar ...
www.4shared.com/.../Geometria_Espacial_-__O_melh...Em cacheCompartilhar
Compartilhado no Google+. Visualizar a postagem.
Geometria Espacial - (O melhor livro de geometria espacial!) - download at 4shared. Geometria Espacial - (O melhor livro de geometria espacial!) is hosted at ...
Hora da
dúvida
1) Qual é a distância entre os centros de duas faces adjacentes de um cubo de aresta 4?
Resolução:
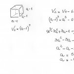
2) Diminuindo-se de 1 unidade de comprimento a aresta de um cubo, o seu volume diminui 61 unidades de volume. A área total desse cubo, em unidades de área é igual a:
Resolução:
3) Se um cubo tem suas arestas aumentadas em 20% cada uma, então seu volume fica aumentado em:
Resolução:
4) Uma caixa d´água tem forma cúbica com 1metro de aresta. De quanto baixa o nível da água ao retirarmos 1 litro de água da caixa?
Resolução:
5) Um paralelepípedo retângulo tem 142 cm² de área total e a soma dos comprimentos de suas arestas vale 60 cm. Sabendo que os seus lados estão em progressão aritmética, eles valem:
Resolução:
6) O volume de um paralelepípedo retângulo é 1620 m³. Calcular as arestas sabendo que estas são proporcionais aos números 3, 4 e 5.
Resolução:
7) Um tanque em forma de paralelepípedo tem por base um retângulo horizontal de lados 0,8 m e 1,2 m. Um individuo, ao mergulhar completamente no tanque, faz o nível da água subir 0,075m. Então o volume do individuo , em litros, é:
Resolução:
E aí cansado de tantas questões lembrando que o que vale é o interesse do aluno.
Então galera por hoje é só.vamos postar mais assuntos referentes a geometria.
Geometric spacce seu futuro começa a qui.



Nenhum comentário:
Postar um comentário